《基于上市公司重整计划的模拟资产负债表编制研究》
作者: 发布时间:2022-01-24 浏览量:623 次 来自:企业破产与重组研究会
按语:本文是浙江省法学会破产法学研究会第一届主题征文暨关于“企业破产法的实施与完善”征文三等奖论文。
作者王进江系北京中企华资产评估有限责任公司,上海分公司总评估师;作者高文忠系北京中企华资产评估有限责任公司,执行总裁、上海分公司负责人、北京市破产法学会常务理事等;作者张维军系北京中企华资产评估有限责任公司,破产重整事业部总经理、上海分公司副总经理、北京市破产法学会常务理事。
《基于上市公司重整计划的模拟资产负债表编制研究》
王进江、高文忠、张维军
摘要:上市公司重整中,债权清偿方式主要为现金、股票或组合,权益调整方式主要为让渡、资本公积转增或组合,债权清偿与权益调整涉及到权益调整的股票数量、现金受偿率、股票受偿率、以股抵债价格、重整投资人受偿价格等,笔者认为还涉及到债权清偿与权益调整间的平衡问题。基于对上市公司债权优先原则的修正观点,笔者认为,应编制基于上市公司重整计划的模拟资产负债表,通过编制公允价值前提的模拟资产负债表,检验债权清偿与权益调整间的平衡问题,模拟资产负债表编制的关键指标是股票内在价值、受偿率的确定,股票内在价值应是未来收益现值加上市公司“壳资源”价值、按公允价值计算的减损率即(1-受偿率)债权应至少不大于原股东权益的被稀释率。
关键词:上市公司重整计划 模拟资产负债表 股票内在价值 减损率 稀释率
一、上市公司重整中债权清偿与权益调整方式
2007年6月1日开始施行《破产法》所设立的破产重整制度,截止2020年12月31日破产重整成功的上市公司73家、进入司法破产程序之后退市的上市公司23家,破产重整的73家上市公司无出资人权益调整和仅股权转让的有8家,即涉及出资人权益调整且非仅股权转让的重整上市公司有65家。这65家重整上市公司,债权清偿方式包括现金(包括未来以现金进行清偿的留债清偿)、现金+股票、现金或股票、现金+股票+应收账款、股票五种,权益调整方式包括让渡、让渡+缩股、股权转让+让渡、让渡+资本公积转增、资本公积转增五种。仅现金清偿的重整上市公司26家、现金+股票清偿的29家、现金或股票清偿的4家即可选择、现金+股票+应收账款清偿的1家即新中基、仅股票清偿的5家,仅让渡调整的21家、让渡+缩股调整的3家、股权转让+让渡调整的1家即中核钛白、让渡+资本公积转增调整的9家、仅资本公积转增调整的31家。债权清偿方式中主要是用现金+股票、仅现金清偿的、权益调整方式中主要是仅资本公积转增、仅让渡调整的,且权益调整方式仅让渡调整的为2013年及之前的重整上市公司。债权清偿方式中用现金+股票清偿的如*ST中南:以现金方式清偿20%,以转增股票方式清偿30%,即每100元普通债权分得20元现金和10股中南文化资本公积金转增股票(该资本公积金转增股票参考江苏华信资产评估有限公司出具的苏华咨报字(2020)第050 号《中南文化投后价值分析咨询报告》所估的3.2至3.82元/股,按3元/股折算受偿金额);仅清偿的如*ST德奥:50万元以内的部分以现金全额清偿,50万元以上的部分按85%的比例清偿。权益调整方式中用仅资本公积转增调整的如*ST中南:以总股本为基础,按照每10股转增7.292334股的比例实施资本公积转增,全部的转增股份用于以股抵债、由重组投资人有条件受让;仅让渡调整的如山东海龙:第1大股东让渡78%,第2大股东让渡30%,第3大股东所持股票全部依法拍卖后由受让方无偿让渡25%,第4大股东让渡50%,其他股东让渡25%。资本公积转增或原股东让渡的股票一般不向原股东分配,用于重组投资人有条件受让、债权人通过以股抵债方式受偿、业绩补偿、支付破产费用、偿还共益债务以及补充公司流动资金等,如*ST天娱:转增股票抵债价格=二债会召开日前20个交易日公司股票交易均价*2.20,资本公积转增股票数量=待清偿债权总额/转增股票抵债价格+预留股票数量,预留…股根据本重整计划的规定在二级市场处置变现用于支付破产费用、偿还共益债务以及补充公司流动资金等,剩余股票全部按照重整计划之债权受偿方案的规定用于直接抵偿债务;又如*ST安通:转增股票中,…股用于解决业绩补偿、资金占用及已依法裁定确认的违规担保等历史遗留问题,…股向部分公司股东进行分配,…股由重整投资人有条件受让,重整投资人作为受让股票条件之一所支付的现金对价专项用于…,…股以股抵债…。
二、权益调整中除权价调整与否的基础
(一)除权除息的含义
除权除息是上市公司发生权益分派(股票股利、现金红利)给股东、资本公积金转增股本、配股等情况,也就是上市公司的盈余转为增资或进行配股时,交易所就要在股权登记日次一交易日对股价进行除权(XR)除息(XD)处理,XR是除去权利的简写、XD是除去利息的简写,除权除息日(一般为股权登记日的次交易日)购入该上市公司股票的股东不可以享有本次分红派息或配股。当一家上市公司宣布送股或配股时,在红股尚未分配、配股尚未配股之前,该股票被称为含权股票。除权、除息参考价格的计算公式深市为:除权(息)参考价=〔(前收盘价-现金红利)+配股价格×股份变动比例〕÷(1+股份变动比例),沪市为:除权(息)参考价格=[(前收盘价格-现金红利)+配(新)股价格×流通股份变动比例]÷(1+流通股份变动比例)。由于配股在定价方面没有被要求接近市场价格的原则,上市公司在针对原股东配股时,往往配股价低于市场价格。除权日的开盘价不一定等于除权价,除权价仅是除权日开盘价的一个参考价格。当实际开盘价高于这一理论价格时,就称为填权,在册股东即可获利;反之实际开盘价低于这一理论价格时,就称为贴权。填权和贴权是股票除权后的两种可能,除权后上市公司的股价是否回补除权缺口,关键在于其每股价值是否得到提升,以及整体市场因素。
(二)除权价计算的必要性
实行除权除息制度,是基于市场公平原则,除权除息日前后股票内含有的股东权益是不同的,从除权除息日起,新持有分红公司股票的股东不享有上次的分红权利。[1]除权、除息价格是在不考虑交易费用、税收等情况下,维持除权、除息后公司价值不变的理论价格,上市公司分红本身是一种财富转移(从上市公司转移到持股股东),而不是财富创造。上市公司分红、配股价低于除权前一日收盘价后,其每股股票所代表的理论价值(公司权益价值)有所减少,这一变化应当体现在股票价格变动中。实际上,除权、除息的目的就是调整上市公司每股股票对应的价值,当上市公司送股分红时需要对股价进行除权,现金分红时需要对股价进行除息,除权除息日前后股票内含有的股东权益是不同的,这是对投资者利益的保护,并方便投资者对股价进行对比分析。
(三)除权价调整与否的基础
2017年12月22日,*ST重钢发布了关于破产重整中资本公积转增股本除权事项的公告,*ST重钢拟将除权参考价格的计算公式调整为:除权(息)参考价格=(前收盘价格-现金红利)÷(1+原流通股份变动比例),前收盘价格为2.15元/股、不涉及现金红利、原流通股份是指转增前公司原股东持有的A股流通股;由于资本公积转增的股票由原股东无偿让渡给债权人以抵偿公司债务、每股作价3.68元,转增前后公司原流通股份不发生变化即原流通股份变动比例为0,且其股票价值与支付对价基本均衡、原股东权益未被稀释,故转增股份用于抵偿债务时的股份作价不纳入除权参考价格计算公式范围,因此调整后重庆钢铁除权(息)参考价格为2.15元/股同股票二级市场前收盘价格。公司前述考虑具有合理性…在破产重整中,新进股东往往通过债务减免、资产注入等方式支付对价,实质增厚了公司的权益,按照一般除权参考价格计算公式得到的除权参考价格,对重整后企业价值的反映可能不尽合理…根据实际情况申请对除权参考价格计算公式进行调整,以使除权结果尽可能客观地反映公司股份的内在价值。[2]公司破产重整方案各异,除权调整与否的基础是股份内在价值是否下降、股东权益是否被稀释。
三、股票内在价值的确定
(一)股票价格的影响因素
影响股票价格的因素有宏观、行业、市场、公司本身、投资者心理等。宏观经济主要包括经济周期、通货膨胀或通货紧缩、国际经济形势等因素,国家的货币政策、财政政策、收入分配政策和对证券市场的监管政策等也会对股票的投资价值产生重要的影响;行业发展状况和趋势、国家行业政策以及相关产业的发展前景等会对该行业上市公司的股票价值产生影响,不同的行业在市场上的发展前景是不同的,市场上出现了新行业且潜力较好则这个行业下的公司股票在一般情况下都是有前景的,否则会造成市场供大于求从而股价就会下跌;对于股票市场我们常常称其为社会经济的晴雨表,经济繁荣时上升、有衰退的苗头股价就会下跌;公司自身因素如公司的经营业绩水平、本身的资产信用、股息红利的设定、外来的发展前景等等,影响本公司的股票价格变动;投资者心理是个体化的因素。股票的价格取决于股票的内在价值,投资者在买卖股票前要判断该股票的市场价值是否合理,是否具有投资价值,如果股票价值超过市场价格,就说明该股票的价格被市场低估,具有上涨潜力,反之,被高估的股票就可能下跌。股票的内在价值是股票的理论价值,是股票未来收益的现值,股票的内在价值决定股票的市场价格,而且股票的市场价格也总是围绕着股票的内在价值波动;宏观、行业、市场是影响股票价值的外部因素。
(二)股票价值的构成
对于上市公司股票是权益不是资产,对于投资者股票具有价值是因为股票能给持有人带来股息。但即使一家上市公司的业务、规模和收益等与一家非上市公司的业务、规模和收益等一模一样,上市公司的股票价值也不同于非上市公司的股票价值,上市公司股票因为具有流通性和利于融资所以具有“壳资源”价值。上市公司股票内在价值应在利用红利贴现模型或自由现金流贴现模型计算出的股票价值基础上加上“壳资源”价值。[3]
1.贴现模型
红利贴现模型是站在投资人层面的股票价值估值,站在上市公司层面是自由现金流的现值。自由现金流贴现模型包括股权自由现金流贴现模型和企业自由现金流贴现模型:
(1)股权自由现金流贴现模型

其中:FCFEt=第t年的股权自由现金流(净利润+折旧-资本性支出-营运资本追加额-债务本金偿还+新发行债务);r=高速增长阶段股权投资者的要求收益率;Pn=高速增长阶段期末的股票价值。
期末价值Pn一般使用稳定增长模型即Gordon增长模型来计算:

其中:gn=第二阶段稳定增长阶段的增长率;rn=稳定增长阶段内股权投资者的要求收益率。
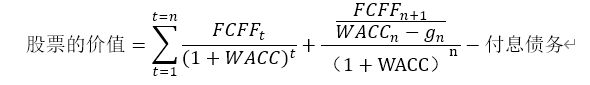
(2)企业自由现金流贴现模型

其中:FCFFt=第t年的企业自由现金流(净利润+利息费用*(1-所得税率)+折旧-资本性支出-营运资本追加额);WACC=高速增长阶段的资本加权平均成本;WACCn=稳定增长阶段的资本加权平均成本。
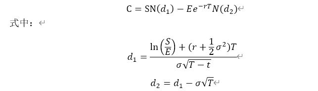
2.“壳资源”价值
把借壳上市这种变相期权看作是买入看涨期权合约,在壳资源资产ST被要求退市之前,借壳方预期收益能够大于壳资源本身的定价,借壳方就会借壳上市即行使期权权利。[4]“壳资源”价值采用布莱克-斯科尔斯欧式买入(看涨)期权的定价公式确定:

其中:C=壳资源价值;S=标的物资产的价格;E=期权执行价格;r=无风险利率;σ=收益率标准差;T=期权到期时间(年);N=正态分布值。
四、债务重组收益及应纳税金分析
2019年5月16日,国家财政部对《企业会计准则第12号——债务重组》进行了修订,《企业会计准则第12号——债务重组》应用指南三、(一)第1款:债务人应当将重组债务的账面价值超过清偿债务的现金、非现金资产的公允价、所转股份的公允价值、或者重组后债务账面价值之间的差额,在满足《企业会计准则第号——金融工具确认和计量》所规定的金融负债终止确认条件时,将其终止确认,计入营业外收入(债务重组利得)。有债务重组收益就会涉及到相应的企业所得税的缴纳,因该项收益并不产生现金流入,从而将加大重整投资人进入后上市公司的负担,同时债务重组税后净收益亦影响股票的内在价值。
(一)债务重组收益构成及债转股会计处理
国家税务总局“关于引发《中华人民共和国企业清算所得税申报表》的通知”(国税函【2009】388号)同时亦是60号文即财政部 国家税务总局《关于企业清算业务企业所得税处理若干问题的通知》(财税【2009】60号)的附件,根据中华人民共和国企业清算所得税申报表,应纳税所得额=清算所得-免税收入-不征税收入-其他免税所得-弥补以前年度亏损、清算所得=资产处置损益+负债清偿损益-清算费用-清算税金及附加+其他所得或支出,
其他支出以“-”号(负数)填列、资产处置损益填报纳税人全部资产按可变现价值或交易价格扣除其计税基础后确认的资产处置所得或损失金额、负债清偿损益填报纳税人全部负债按计税基础减除其清偿金额后确认的负债清偿所得或损失金额,以非现金资产清偿债务的,债务人应分清债务重组利得与资产转让损益的界限,并于债务重组当期予以确认。重整期间的债务重组收益可以参照388号文,应纳税所得额=重整所得-免税收入-不征税收入-其他免税所得-弥补以前年度亏损、重整所得=重整期经营损益+资产处置损益+负债清偿损益-重整费用-重整税金及附加+其他收益或支出。由于清算不再持续经营而重整成功后会持续经营,重整涉及债务转为资本等与权益调整相关的会计处理,以债务转为资本其会计处理分录一般为借:应付账款(账面余额)、贷:股本(面值)、贷:资本公积(股票公允价值减面值)、贷:营业外收入-债务重组利得(借贷平衡金额),这个分录中涉及股票公允价值的计量。
(二)债务重组所得税理论及优惠政策
我国企业重组所得税税制的理论核心在于企业重组的“经济实质理论”,在这一理论上又内生出“股东利益连续性”规则、“经营连续性”规则以及“合理的商业目的”规则三大规则。在这三大规则的基础上,税法给予企业重组不同的税收待遇,即应税重组待遇(59号文规定的一般性税务处理待遇)和免税/递延纳税待遇(59号文规定的特殊性税务处理待遇)。[5]59号文即财政部、国家税务总局《关于企业重组业务企业所得税处理若干问题的通知》(财税【2009】59号),经济实质是指重组产生唯一后果就是使得目标企业的原股东对目标企业的营业或资产的投资利益(或股东利益)得以继续,59号文所称企业重组包括企业法律形式改变、债务重组、股权收购、资产收购、合并、分立等。破产重整上市公司在重整成功引入重整投资人后,重整投资人取代原控股股东,重整上市公司继续经营。债务重组所得税优惠政策有:1.资产处置损失税前扣除。重整上市公司因资产快速变现处置,会发生一定金额的资产处置损失。根据《企业资产损失所得税税前扣除管理办法》(国家税务总局公告2011年第25号)等规定,可以在企业所得税税前扣除。如果重整上市公司存在对外担保债务,这些表外债务跟重整上市公司的其他债务一样,同样享有清偿的权利,因被担保人不能按期偿还而承担连带责任,对无法追回的金额比照25号公告规定的营收款项损失进行处理。2.弥补以前年度亏损。《中华人民共和国企业所得税法》第十八条规定:企业纳税年度发生的亏损,准予向以后年度结转,用以后年度的所得弥补,但结转年限最长不得超过五年。重整上市公司在进入重整前,通常存在一定金额的未弥补亏损,在税法规定额度内可用于抵减应纳税的债务重组收益,达到减少应纳税所得额进而减少应纳企业所得税。3.特殊性税务处理。属于因未足额清偿债权而产生的债务重组收益,符合59号文、《关于促进企业重组有关企业所得税处理问题的通知》(财税【2014】109号)、《关于非货币性资产投资企业所得税政策问题的通知》(财税【2014】116号)等有关特殊性税务处理规定,企业债务重组确认的应纳税所得额占该企业当年应纳税所得额50%以上,可以在5个纳税年度的期间内,均匀计入各年度的应纳税所得额,从而缓解重整投资人进入后上市公司的资金压力。
五、编制基于重整计划模拟的资产负债表
重整计划是由管理人或债务人制定的,以企业拯救和债务公平清偿为目的,确定以让步为基础的债务清偿和权益调整方案,并确定有助于企业解困复兴的经营方案,一般需征得债权人会议的同意并经法院批准,重整计划名为计划,实际是一个多方协议。上市公司重整计划一般包括释义、前言、摘要和正文,正文一般包括重整上市公司基本情况、出资人权益调整方案、债权分类方案、债权调整方案、债权受偿方案、资产保留/处置方案、经营方案、重整计划的生效、重整计划的执行、重整计划执行的监督、其他事宜等,利于重整计划中各方案和评估的数据可模拟公允价值前提的资产负债表,该资产负债表左方是债权清偿和未来发展的基础—资产(包括现金资产、拟保留和处置的资产、重整投资人注入的资产等)、右上方为债权人包括有财产担保的特定债权、无财产担保的普通职权、职工债权、税款债权等的拟现金受偿金额(包括留债等)以及破产费用和共益债务等、右下方为出资人包括原股东和重整投资人以及以股抵债等新股东的权益等,且资产负债表具有平衡关系:资产(左方)=负债(右上方)+净资产(右下方),通过经平衡的模拟资产负债表,可以计算债权清偿减损率、原股东权益稀释率并进行合理性分析。
(一)模拟资产负债表编制的方法
利用资产负债表的结构,在存量资产中拟处置资产变现清偿、重整投资人认购权益调整的股份从而注入现金和资产、存量资产中保留资产和重整投资人注入资产未来经营的情况下,模拟的简明资产负债表的架构如下:

模拟的简单的资产负债表模拟方法:1.现金。即货币资金,包括重整基准日的存量现金、重整投资人认购权益调整的股份支付的现金等。2.拟处置资产为重整计划中拟处置资产的拍卖保留金额,一般是在清算价值评估值的基础上打折确定。3.保留资产应是在市场价值评估值的基础上调整确定。4.重整投资人注入资产应是采用收益法等方法的市场价值评估值。5.“壳资源”价值即股票内在价值中采用布莱克-斯科尔斯欧式买入(看涨)期权的定价公式确定的金额。6.特定债权现金受偿金额为重整计划中就特定债权以现金清偿的金额。7.普通债权现金受偿金额为重整计划中就普通债权以现金清偿的金额。8.职工债权为重整计划中的预计数据,包括重整基准日的应付的职工薪酬、社保等金额和应重整可能的安置费等预计金额。9.税款债权包括重整基准日的应付的税款和应重整形成的债务重组收益应纳所得税的预计金额,债务重组收益应纳所得税是未来在重整投资人进入后应支付的,应在计算特定债权和普通债权受偿率前考虑,该金额通常较大,预计时要充分利用好相关税务优惠政策。10.破产费用和共益债务为重整计划中的预计金额。11.股票内在价值为根据经营方案采用现金流折现方法评估的折现值(管理人估计或委托专业评估机构评估)和采用布莱克-斯科尔斯欧式买入(看涨)期权的定价公式确定的金额之和,或重整停牌前一交易日的收盘价或停牌前20日的加权平均价格或其他价格乘以权益调整后股份总数;权益调整后股份总数=原股东让渡后股份数+以股抵债股份数+重整投资人等认购股份数,相应的价值等于相应的股份数乘以每股内在价值,每股内在价值股票内在价值除以权益调整后股份总数。
(二)模拟资产负债表平衡的方法
如果模拟的资产负债表不平,即资产总计小于特定债权现金受偿金额、普通债权现金受偿金额、职工债权、税款债权、破产费用、共益债务的合计数,一是说明原股东的让渡股份可能不足,应加大让渡并将该增加让渡的股份处置变现或由重整投资人等的追加认购从而增加资产中偿债等专项资金金额;二是说明股票内在价值或重整计划中的股票抵债价格估计偏高,应重新审视重整投资人进入后未来收益预测的合理性,如果存在下调的可能,则股票内在价值下降,减少模拟资产负债表资产与负债和权益的差异金额。
六、债权调整与权益调整平衡检验及存在的问题
(一)债权优先原则及修正观点
根据《公司法》第一百八十六条“清算组在清理公司财产、…在分别支付…清偿公司债务后的剩余财产,有限责任公司按照股东的出资比例分配,股份有限公司按照股东持有的股份比例分配。…公司财产在未依照前款规定清偿前,不得分配给股东。”、《企业破产法》第一条“…保护债权人和债务人的合法权益……”和第七十七条“在重整期间,债务人的出资人不得请求投资收益分配。…不得向第三人转让其持有的债务人的股权。…”,法律规定债权是享有优先原则的, 即除非债权人全额受偿,出资人就不能保留任何实体权利。我们认为,债权优先原则有理论上的合理性,充分考虑了在重组程序中对债权人利益的保护,但对于上市公司而言,若绝对奉行该原则,易滑向对单极利益的过度保护而忽略其他主体的多元利益诉求,最明显的体现即为忽略对股东利益的保护。[6]债权优先原则的修正--平衡债权人利益和出资人利益观点,涉及的一个问题就是债权人利益和出资人利益如何平衡亦即平衡的标准是什么?笔者认为,不是债权人会议上债权人与出资人达成一致就是平衡了,这只是平衡的前提之一,需有量上的平衡标准,且对股东利益的保护也应主要是针对中小股东的。
(二)债权减损率和原股东稀释率计算
依据经平衡的公允价值前提下的模拟资产负债表,并假设职工债权、税款债权可全额受偿以及偿债现金大于破产费用和共益债务,债权减损率和原股东稀释率计算如下:
1.债权减损率

其中:TA=资产总计;SC=特定债权总额;GC=普通债权总额;CPR1=特定债权现金受偿率;CPR2=普通债权现金受偿率;EC=职工债权;TC=税款债权;BC=破产费用和共益债务;PRS=重整前股份总数;AS=让渡股份;IV=每股内在价值;SI=以股抵债股份;DS=让渡/转增等重整调整股份,用于以股抵债、重整投资人认购等。
2.原股东稀释率

如果债权减损率大于原股东稀释率,应加大原股东让渡的比例,笔者认为平衡债权人利益和出资人利益观点至少应债权减损率不大于原股东稀释率,否则就是保护了原股东的利益、反而损害了债权人的利益,与法律规定的债权人优先原则背道而驰。
(三)目前权益调整存在的问题
截止2020年12月31日破产重整成功的73家上市公司,笔者认为,无出资人权益调整和仅股权转让的8家、没有让渡的即仅资本公积转增调整的31家共39家就是对原股东的完全保护,把损失完全转嫁给了债权人;权益调整中含让渡的根据本文观点,也存在让渡比例可能不足的瑕疵。
注释
[1] 腾讯财经讯:《证监会:实行除权除息制度是基于市场公平原则》,载腾讯网,https://finance.qq.com/a/20120518/007417.htm,访问日期:2021年7月31日。
[2] 上海证券交易所:《关于上市公司破产重整中资本公积转增股本除权事项答记者问》,载上海证券交易所网,WWW.sse.com.cn/aboutus/mediacenter/hotandd/c/c_20171222_4438665.shtml,访问日期:2021年8月6日。
[3] 王进江、高文忠、张维军:《上市公司破产重整中股票清偿价值的量化研究》,载《中国资产评估》2021年第5期。
[4] 徐成刚:《壳资源变相期权定价分析》,载《现代商贸工业》2020年第35期。
[5] 雷霆:《图解并购重组—法律实务操作要点与难点》,法律出版社2019年版,第213页。
[6] 刘延岭,赵坤成:《上市公司重整案例解析》,法律出版社2017年版,第50页。
微信扫一扫 第一时间让您获取学术观点、内业新闻——企业破产与重组研究会公众号(qypcyczyjc)!

